CHAPTER 2
BLOCK AND TACKLE
CHAPTER LEARNING OBJECTIVES
Upon completion of this chapter, you should be able to do the following:
- Describe the advantage of block and tackle afloat and ashore
Blocks—pulleys to a landlubber—are simple machines that have many uses aboard ship, as well as onshore. Remember how your mouth hung open as you watched movers taking a piano out of a fourth story window? The guy on the end of the tackle eased the piano safely to the sidewalk with a mysterious arrangement of blocks and ropes. Or, you’ve been in the country and watched the farmer use a block and tackle to put hay in a barn. Since old Dobbin or the tractor did the hauling, there was no need for a fancy arrangement of ropes and blocks. Incidentally, you’ll often hear the rope or tackle called the fall, block and tack, or block and fall.
In the Navy you’ll rig a block and tackle to make some of your work easier. Learn the names of the parts of a block. Figure 2-1 will give you a good start on this. Look at the single block and see some of the ways you

Figure 2-1.-Look it over.
can use it. If you lash a single block to a fixed object-an overhead, a yardarm, or a bulkhead-you give yourself the advantage of being able to pull from a convenient direction. For example, in figure 2-2 you haul up a flag hoist, but you really pull down. You can do this by having a single sheaved block made fast to the yardarm. This makes it possible for you to stand in a convenient place near the flag bag and do the job. Otherwise you would have to go aloft, dragging the flag hoist behind you.

Figure 2-2.-A flag hoist.

Figure 2-3.-No advantage.
MECHANICAL ADVANTAGE
With a single fixed sheave, the force of your down pull on the fall must be equal to the weight of the object hoist. You can’t use this rig to lift a heavy load or resistance with a small effort-you can change only the direction of your pull.
A single fixed block is a first-class lever with equal arms. The arms (EF and FR) in figure 2-3 are equal; hence, the mechanical advantage is 1. When you pull down at A with a force of 1 pound, you raise a load of 1 pound at B. A single fixed block does not magnify force nor speed.
You can, however, use a single block and fall to magnify the force you exert. Notice in figure 2-4 that the block is not fixed. The fall is doubled as it supports the 200-pound cask. When rigged this way, you call the single block and fall a runner. Each half of the fall carries one-half of the total bad, or 100 pounds. Thus, with the runner, the sailor is lifting a 200-pound cask with a 100-pound pull. The mechanical advantage is 2. Check this by the formula:
![]()

Figure 2-4.-A runner.

Figure 2-5.-It’s 2 to 1.

Figure 2-6.-A gun tackle.
The single movable block in this setup is a second-class lever. See figure 2-5. Your effort (E) acts upward upon the arm (EF), which is the diameter of the sheave. The resistance (R) acts downward on the arm (FR), which is the radius of the sheave. Since the diameter is twice the radius, the mechanical advantage is 2.
When the effort at E moves up 2 feet, the load at R is raised only 1 foot. That’s something to remember about blocks and falls—if you are actually getting a mechanical advantage from the system. The length of rope that passes through your hands is greater than the distance that the load is raised. However, if you can lift a big load with a small effort, you don’t care how much rope you have to pull.
The sailor in figure 2-4 is in an awkward position to pull. If he had another single block handy, he could use it to change the direction of the pull, as in figure 2-6. This second arrangement is known as a gun tackle. Because the second block is fixed, it merely changes the direction of pull—and the mechanical advantage of the whole system remains 2.
You can arrange blocks in several ways, depending on the job to be done and the mechanical advantage you

Figure 2-7.-A luff tackle.
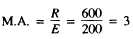
want to get. For example, a luff tack consists of a double block and a single block, rigged as in figure 2-7. Notice that the weight is suspended by the three parts of rope that extend from the movable single block. Each part of the rope carries its share of the load. If the crate weighs 600 pounds, then each of the three parts of the rope supports its share—200 pounds. If there’s a pull of 200 pounds downward on rope B, you will have to pull downward with a force of 200 pounds on A to counterbalance the pull on B. Neglecting the friction in the block, a pull of 200 pounds is all that is necessary to raise the crate. The mechanical advantage is:
![]()
Here’s a good tip. If you count the number of parts of rope going to and from the movable block you can figure the mechanical advantage at a glance. This simple rule will help you to approximate the mechanical advantage of most tackles you see in the Navy.

Figure 2-8.-Some other tackles.
Many combinations of single-, double-, and triple-sheave blocks are possible. Two of these combinations are shown in figure 2-8.
You can secure the dead end of the fall to the movable block. The advantage is increased by 1. Notice that this is done in figure 2-7. That is a good point to remember. Remember, also, that the strength of your fall—rope—is a limiting factor in any tackle. Be sure your fall will carry the load. There is no point in rigging a 6-fold purchase that carries a 5-ton load with two triple blocks on a 3-inch manila rope attached to a winch. The winch could take it, but the rope couldn’t.
Now for a review of the points you have learned about blocks, and then to some practical applications aboard ship:
With a single fixed block the only advantage is the change of direction of the pull. The mechanical advantage is still 1.
A single movable block gives a mechanical advantage of 2.

Figure 2-9.-A yard and stay tackle.
Many combinations of single, double, and triple blocks can be rigged to give greater advantages.
Remember that the number of parts of the fall going to and from the movable block tells you the approximate mechanical advantage of the tackle.
If you fix the dead end of the fall to the movable block you increase the mechanical advantage by one 1.
APPLICATIONS AFLOAT AND ASHORE
We use blocks and tackle for lifting and moving jobs afloat and ashore. The five or six basic combinations are used over and over in many situations. Cargo is loaded aboard, and depth charges are stored in their racks. You lower lifeboats over the side with this machine. We can swing heavy machinery, guns, and gun mounts into position with blocks and tackle. In a thousand situations, sailors find this machine useful and efficient.
We use yard and stay tackles aboard ship to pick up a load from the hold and swing it onto the deck. We use yard and stay tackles to shift any load a short distance. Figure 2-9 shows you how to pick a load by the yard tackle. The stay tackle is left slack. After raising the load to the height necessary to clear obstructions, you take up on the stay tackle and ease off on the yard fall. A glance at the rig tells you that the mechanical advantage of each of these tackles is only 2. You may think it’s hard work to rig a yard and stay tackle when the small advantage is to move a 400-pound crate along the deck. However, a few minutes spent in rigging may save many unpleasant hours with a sprained back.
If you want a high mechanical advantage, a luff upon luff is a good rig for you. You can raise heavy loads with this setup. Figure 2-10 shows you what a luff upon

Figure 2-10.-Luff upon luff.
luff rig looks like. If you apply the rule by which you count the parts of the fall going to and from the movable blocks, you find that block A gives a mechanical advantage of 3 to 1. Block B has four parts of fall running to and from it, a mechanical advantage of 4 to 1. The mechanical advantage of those obtained from A is multiplied four times in B. The overall mechanical advantage of a luff upon luff is the product of the two mechanical advantages—or 12.
Don’t make the mistake of adding mechanical advantages. Always multiply them.
You can easily figure out the mechanical advantage for the apparatus shown in figure 2-10. Suppose the load weighs 1,200 pounds. The support is by parts 1, 2, and 3 of the fall running to and from block A. Each part must be supporting one-third of the load, or 400 pounds. If part 3 has a pull of 400 pounds on it, part 4—made fast to block B—also has a 400-pound pull on it. There are four parts of the second fall going to and from block B. Each of these takes an equal part of the 400—pound pull. Therefore, the hauling part requires a pull of only 1/4 x 400, or 100 pounds. So, here you have a 100-pound pull raising a 1,200-pound load. That’s a mechanical advantage of 12.
In shops ashore and aboard ship, you are almost certain to run into a chain hoist, or differential pulley. Ordinarily, you suspend these hoists from overhead trolleys. You use them to lift heavy objects and move them from one part of the shop to another.
To help you to understand the operation of a chain hoist, look at the one in figure 2-11. Assume that you grasp the chain (E) and pull until the large wheel (A) has

Figure 2-11.—A chain hoist.
turned around once. Then the distance through which your effort has moved is equal to the circumference of that wheel, or 2pr. Again, since C is a single movable block the downward movement of its center will be equal to only one-half the length of the chain fed to it, or pr.
Of course, C does not move up a distance pR? and then move down a distance pr. Actually, its steady (pR – m). Don’t worry about the size of the movable pulley (C). It doesn’t enter into these calculations. Usually, its diameter is between that of A and that of B.
The mechanical advantage equals the distance that moves the effort (E). It’s divided by the distance that moves the load. We call this the velocity ratio, or theoretical mechanical advantage (T.M.A.). It is theoretical because the frictional resistance to the movement of mechanical parts is left out. In practical uses, all moving parts have frictional resistance.
The equation for theoretical mechanical advantage may be written
![]()
and in this case,
T.M.A. =
If A is a large wheel and B is a little smaller, the value of 2R becomes large and then (R – r) becomes small. Then you have a large number for
![]()
which is the theoretical mechanical advantage.
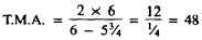
You can lift heavy loads with chain hoists. To give you an idea of the mechanical advantage of a chain hoist, suppose the large wheel has a radius (R) of 6 inches and (r) of 5 3/4 inches. What
![]()
Then substitute the numbers in their proper places, and solve
![]()
Since the friction in this type of machine is considerable, the actual mechanical advantage is not as high as the theoretical mechanical advantage. For example, that theoretical mechanical advantage of 48 tells you that with a 1-pound pull you can lift a 48-pound load. However, actually your 1-pound pull might only lift a 20-pound load. You will use the rest of your effort in overcoming the friction.
SUMMARY
The most important point to remember about block and tackle is that they are simple machines. And simple machines multiply effort or change its direction. You should also remember the following points:
A pulley is a grooved wheel that turns by the action of a rope in the groove.
There are different types of pulleys. Pulleys are either fixed or movable.
You attach a fixed pulley to one place. The fixed pulley helps make work easier by changing the direction of the effort.
You hook a movable pulley to the object you are lifting. As you pull, the object and the pulley move together. This pulley does not change the direction of the effort, but it does multiply the effort.
You can use fixed and movable pulleys together to get a large mechanical advantage (M.A.).

No comments:
Post a Comment